Physik des Motorrads

  • Kurvenfahren
  • Bremsen
  • Kammscher Kreis
  • Motorrad umrüsten auf LED Blinker
WIE BRINGE ICH MEIN MOTORRAD UM DIE ECKE?
Motorradfahren ist eine Art Fortbewegung, die sehr viel Freude bereiten kann. Vielfach wird aber vergessen, dass diese Freude, dieses Vergnügen einfachen physikalischen Gesetzen folgt. Dies betrifft vor allen Dingen Prozesse, die an der Schnittstelle Straße/Motorrad ablaufen.

Zunächst einmal einige Gedanken zum Kurvenfahren oder "Schnell ist sehr schnell zu schnell".
Bei unseren ersten Gedanken wollen wir die Reibungskräfte, - obwohl lebenswichtig - ausser Acht lassen. Dazu wählen wir folgendes Beispiel: Der Motorradfahrer durchfährt eine kreisrunde Bahn mit überhöhten Kurven und einem bestimmten Radius (z.B. bekannt aus Steherrennen). Der Fahrer hält sein Motorrad im rechten Winkel zur Bahn. Somit treten keine seitlichen Reibungskräfte auf. Die Überhöhung der Kurve ist durch den Neigungswinkel a gegeben. Unter diesen Bedingungen besteht zwischen der Geschwindigkeit (v), dem Kurvenradius (r), der Schwerkraft auf der Erde (g) und dem Neigungswinkel folgender Zusammenhang:

v hoch 2 = r*g*tan a

Deshalb können Artisten auf dem Jahrmarkt oder im Zirkus bei mittlerer Geschwindigkeit in einer kleinen runden Kugel waagrecht fahren (a = 90°).
Im richtigen Leben sieht das natürlich anders aus. Da die Kurven nicht überhöht sind, muss sich der Motorradfahrer in die Kurve legen. Dieses "sich in die Kurve legen" entspricht dem Neigungswinkel a der überhöhten Kurve.
Eine normale, nicht überhöhte Straßenkurvenkurve kann nur wegen der Haftreibung durchfahren werden. Diese Reibung verhindert, dass der Reifen seitlich wegrutscht. Unter Berücksichtigung der Reibung kann eine Kurve maximal mit der Geschwindigkeit

max. Geschwindigkeit = Wurzel aus (Reibung * Erdbeschleinigung)

durchfahren werden.
Die Haftreibung zwischen Reifen und Strasse liegt zwischen 1,2 und 0,1.
trockener Asphakt = 1,2
trockenes Kopfsteinpflaster = 0,9
nasser Aphalt = 0,6
nasses Kopfsteinpflaster = 0,5
Reifglätte = 0,2
Eisglätte = 0,1

Je geringer die Reibung desto geringer muss auch die Kurvengeschwindigkeit sein.

Was - in Abhängigkeit von Geschwindigkeit, Gewicht, Kurvenradius und Fahrbahnzustand - machbar ist, kann dem interaktiven Kammschen Kreis [32 KB] [32 KB] entnommen werden. Die theoretischen Grundlagen findet ihr im Buch "Die obere Hälfte des Motorrads" von Bernt Spiegel.

Bei diesen Betrachtungen handelt es sich um rein theoretische Überlegungen. Das Kurvenverhalten wird aber auch durch den Zustand der Strasse, den Zustand der Stoßdämpfer, den Reifendruck, den Zustand der Reifen, die Größe und Dicke der Reifen beeinflußt.
Darüber hinaus gibt es noch viele andere Faktoren, die das Kurvenverhalten eines Motorades beeinflussen können. Deshalb können wir auch keine Garantie für das erfolgreiche Kurvenfahren geben.
 
B R E M S E N O D E R N I C H T B R E M S E N

Diese Frage können wir leider auch nicht beantworten. Wie der folgenden Tabelle aber zu entnehmen ist, empfiehlt es sich, bis ca. 60 km/h zu bremsen. Bei höheren Geschwindigkeit erst bremsen und dann versuchen auszuweichen, wenn der Platz zum Stillstand nicht ausreicht.
Volker hat sich mal drangesetzt und den Kammschen Kreis in Excel realisiert.
Viel Spaß!
kammscherkreisinteraktiv.xlsx [317 KB] [32 KB]
LED-Blinker Umrüstung im Eigenbau
PDF-Download [390 KB] [390 KB]
Besitzer eines Motorrades stehen vielleicht vor der Entscheidung herkömmliche Blinker mit Glühlampen auf LED (Light Emitting Diode) umzurüsten.

Wird bei einem lastabhängigen Blinker-Relais für Glühbirnen der Stromfluß geringer, erkennt die Schaltung im Relais das und erhöht die Blinkfrequenz um z.B. auf defekte Glühbirnen hinzuweisen. Blinker mit LED’s haben aber eine deutlich geringere Leistungsaufnahme als Glühlampen. Neben dem Austausch des Glühbirnen-Blinkers muß somit zusätzlich eine Leistungsanpassung des vorhandenen alten Blinker-Relais auf die neuen LED’s erfolgen. Für letzteres wird ein elektrischer Widerstand als Verbraucher benötigt, der parallel zum LED angeschlossen werden muss.

Hier soll kurz auf die elektrischen Grundlagen eingegangen und beschrieben werden wie der Widerstand berechnet wird.

Grundlagen

Wir benötigen hierzu lediglich die Kenntnis des „Ohmschen Gesetzes“
und die Gleichung zur Berechnung der elektrischen Leistung.
Das Ohmsche Gesetz kann durch den Vergleich mit einem Fluß veranschaulicht werden. Die Spannung U ist dabei das Gefälle, die Stromstärke (oder kurz einfach nur Strom) I ist die Menge und R ist ein Maß dafür, wieviel (Fließ-) Widerstand das Flußbett (z.B. durch Verengungen) dem Strom entgegensetzt. Befinden sich dabei z.B. im Fluß Inseln, verzweigt sich der Strom in die Teil-Ströme entsprechend des jeweiligen Widerstandes der ihm zwischen den Inseln entgegengesetzt wird, um sich dann nach den Inseln wieder zum Gesamt-Strom zu vereinen („erstes Kirchhoffsche Gesetz“).
Die Gleichung der elektrischen Leistung P kann man dabei mit Hilfe eines wasserangetriebenen Mühlenrades verdeutlichen. Je größer das Gefälle (U) bzw. der Strom (I, bzw. die Menge), desto größer die Leistung die für den Antrieb des Mühlenrades verbraucht wird.
Berechnung des Widerstandes

Betrachten wir jetzt zunächst ein vereinfachtes Motorrad Blinker-Schaltbild. Die Blinker links, mit jeweils P = 21W Leistung vorne und hinten sind betätigt und werden über die 12V Batterie/Lichtmaschine des Motorrades gespeist.
Mit Hilfe von Gl. (2) berechnet sich der Strom zum Beispiel für den Blinker vorne zu
Da die Blinker vorne und hinten die gleiche Leistung haben, addieren sich die Teilströme (wie beim Fluß mit den Inseln) durch die Glühbirnen zum Gesamtstrom von I = 3.5A.
Die LED’s geringerer Leistungsaufnahme (in dem Beispiel P = 2W) benötigen dagegen nur den Strom von
Das Blinker-Relais ist aber für eine höhere Gesamt-Leistung (P = 2 x 21W = 42W) und damit auch Strom (3.5A) ausgelegt. Die überschüssige Leistung pro mit LED ausgetauschter Glühbirne muß also abgeführt werden. Dafür schaltet man einen zusätzlichen Verbraucher in Form eines Widerstandes R parallel zur LED dazu. Dieser setzt elektrische Leistung in Wärme um. Der erforderliche Wert des Widerstandes Rv berechnet sich nach Gl. (1) aus der Spannung und der Differenz der Ströme von Glühbirne und LED
Damit ergibt sich das geänderte Schaltbild für LED
Warum wird der Widerstand nicht in Reihe (Serie) geschaltet?

Der Gesamtstrom von 3.5A würde sich auf die zwei Teilströme der LED-Blinker vorne und hinten (je 1.75A)aufteilen. Für eine LED Leistungsaufnahme von 2W würden bei dem hohen Strom damit nur ca. 1.1V Spannungsabfall über den LED genügen. Die restlichen ca. 10.9V (12V – 1.1V) müssten über den in Reihe(Serie) eingebauten Widerstand mit (10.9V/1.75A = 6.2Ω) verbraucht werden, damit der LED nicht überlastet wird. Die LED’s sind aber für eine Betriebsspannung von 12V ausgelegt und würden bei der niedrigen Spannung von 1.1V nicht leuchten.
Was ist zu beachten beim Widerstand?

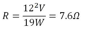
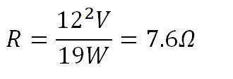
Widerstände dürfen je nach Typ nur bis zu einer maximalen Leistung belastet werden. Ein Streichholzkopf großer Widerstand kann nicht die Leistung eines Heizofens aufnehmen. Höchstwerte für die Belastbarkeit der Widerstände kann man in Kennlinienfelder darstellen. Die Kennlinie für den zuvor errechneten Widerstand R=7.6Ω bei einer Leistungsaufnahme von P=19W ist z.B. in dem nachfolgenden Diagramm dargestellt. Zunächst wird mit der nach den Strom I umgestellte Gl.(1) für verschiedene Werte der Spannung die lineare Widerstandskennlinie in ein Diagramm eingetragen.
Mit Gl.(2), ebenfalls auf ‚I‘ umgestellt und für verschiedene Spannungen berechnet,
kann in das gleiche Diagramm die sogenannte Leistungshyperbel eingetragen werden. Der Schnittpunkt der Widerstandskennlinie mit der Leistungshyperbel markiert die Belastungsgrenze des Widerstandes. In unserem Fall U=12V und I=1.58A. Stromwerte unterhalb der Kurve sind im Dauerbetrieb zulässig, bei
Werten darüber wird der Widerstand überlastet.

Stellt man übrigens Gl.(1) auf ‚R‘ um und setzt für ‚I‘ Gl.(3) ein, erhält man Gl.(5)
Nun kann direkt, ohne den Umweg zuerst die Ströme auszurechen, bei Kenntnis der Spannung und der über den Widerstand zu verbrauchenden Leistung (Differenz Leistung von Glühbirne und LED), der Widerstand bestimmt werden.
Anstelle bei jedem Blinker auf einer Seite einen Widerstand von 7.6Ω parallel zum LED einzubauen, also insgesamt 2 Widerstände für eine Seite, könnte man auch nur einen, entsprechend großen Widerstand auf der jeweiligen Seite einbauen. Mit Gl.(5) errechnet sich dieser mit der benötigten Verlustleistung für die beiden ersetzten Glühlampen von P = 2 * 19W zu 3.6Ω. Praktisch steht dem aber im Weg, einen geeigneten Einbauort im Kabelbaum des Motorrades zu finden. Zumal der entsprechend großen Widerstand die abzuführende Verlustleistung von 38W in Form von Wärme bei immerhin I=3.16A abgibt. Da ist es besser und einfacher zum Einbau vorverdrahtete Widerstände bei jedem Blinker einzeln einzubauen.

Die Idee möglicherweise sogar nur einen Widerstand schon in der (+) Zuleitung zum Blinker-Schalter am Lenker einzubauen verbietet sich nicht nur aus dem zuvor genannten Grund der Erwärmung. Viel mehr würde man die Lichtmaschine bzw. die Batterie ständig übermäßig belasten, da der Strom unabhängig von der Blinker-Schalterposition gegen Masse (-) über den Widerstand abfließen würde.

Widerstände werden in Baureihen hergestellt. Das heißt man wird nicht unbedingt den Widerstand für genau den errechneten Wert finden. Das macht aber nichts, kleine Abweichungen wirken sich nicht oder nur sehr geringfügig bei der Blinkfrequenz aus.

Die Tatsache dass der Blinker ja blinkt, also an- und ausgeht, wurde bei der Berechnung nicht berücksichtigt. Da in den kleinen Blink-Pausen kein Strom fließt, wird der Widerstand somit dann nicht belastet. Wir sind daher mit unserer Berechnung eher auf der sicheren Seite was die Belastbarkeit/Erwärmung des Widerstandes betrifft.

Hat ein Motorrad noch kein Warnlicht, alle vier Blinker blinken gleichzeitig, kann dieses relativ einfach nachgerüstet werden, wenn das Blinkrelais ausreichend Leistung (im Falle der Glühbirne 4 * 21W = 84W) hat. Normalerweise sollte das aber kein Problem sein. Man benötigt dann lediglich einen zusätzlichen Schalter der den normalen Blinker-Schalter am Lenkrad überbrückt und die Kabel für die Blinker links und rechts gleichzeitig mit Spannung versorgt.

Was gibt es zu beachten beim Einbau des Widerstands

Vor elektrischen Arbeiten sollte die Batterie vom Stromkreis getrennt werden. Dabei zuerst die Leitung am Minuspol(-) von der Batterie trennen, danach die vom Pluspol(+).

Wie der Name Light Emitting Diode schon sagt, ist ein LED eine Diode. Diese haben die Eigenschaft, dass sie Strom nur in eine Richtung durchlassen. Daher auf die richtige Polung beim Anschließen der Kabel achten. Der Blinker geht sonst nicht.

Noch ein Hinweise zum Aufwand

Neben den Anschaffungskosten für die Widerstände (bis zu 5€ pro Widerstand) ist auch der Einbau, auch wenn vorverdrahtet, nicht unerheblich. Leichter und kostengünstiger ist meistens der Einbau eines neuen lastunabhängigen Blinker-Relais.
Disclaimer

Alle Angaben wurden nach bestem Wissen und Gewissen gemacht. Es kann dennoch keine Gewähr auf Richtigkeit gegeben werden. Alle Änderungen/Modifizierungen am Motorrad erfolgen auf eigene Gefahr.